找回密碼
 註冊
[日本手機遊戲APPS下載] 手機遊戲專區 熱門短片

型男索女 
查看: 10300|回復: 10

pmaths complex number

[複製鏈接]
發表於 20-8-2008 19:05:37 | 顯示全部樓層 |閱讀模式


上述proof 是否正確?
如錯, 煩請指正

[ 本帖最後由 bearwing 於 21-8-2008 00:48 編輯 ]
回復

使用道具 舉報

發表於 22-8-2008 22:48:18 | 顯示全部樓層
sin/cos轉e function係pure math好似係OUT C架喎
呢個expression我都係係APP見過一次
回復 支持 反對

使用道具 舉報

發表於 22-8-2008 23:02:15 | 顯示全部樓層
呢個Euler formula係Signal Processing係成日用...
adamsteve將會係ELEC2201成日用.
回復 支持 反對

使用道具 舉報

發表於 23-8-2008 00:57:12 | 顯示全部樓層
唔係呀ma=.= 數係我最差哥科黎架 今次要多加努力啦
year2 唔可以再係咁hea gpa
回復 支持 反對

使用道具 舉報

發表於 23-8-2008 17:17:24 | 顯示全部樓層
我都要sit 下果個乜MATH1805 先...

你地Engine 竟然有自己的Maths course, 好唔開心[[tk_35]]

我BSc  yr 1: yr2: yr3 係1:1:1
一 仆到, 就真仆到[[tk_41]]
回復 支持 反對

使用道具 舉報

發表於 25-8-2008 00:10:22 | 顯示全部樓層
engine梗係有自己course啦
哥科叫做engineering maths喎 我地係maths+phy ge完全混合體 加少少chem咁啦
回復 支持 反對

使用道具 舉報

發表於 25-8-2008 00:29:49 | 顯示全部樓層
我好似無乜機會去到黃克競果邊 -.-
回復 支持 反對

使用道具 舉報

 樓主| 發表於 26-8-2008 01:48:21 | 顯示全部樓層
浮下上水先

Let
1 + (2/3)cosx + (4/9)cos2x + ... + (2/3)^n cos nx = {a_n}
0 + (2/3)sinx + (4/9)sin2x + ... + (2/3)^n sin nx = {b_n}
1 + (2/3)e^ix + (4/9)e^2ix + ... + (2/3)^n e^nix = {e_n}

Q1. How to prove {a_n} is convergent? ( or {b_n}, as they are the same}
Q2. Shall I prove the convergence of {a_n} and {b_n} first before I separate
lim{e_n} = lim{a_n} + i lim{b_n} ?

thx very much.

[ 本帖最後由 bearwing 於 26-8-2008 23:25 編輯 ]
回復 支持 反對

使用道具 舉報

發表於 27-8-2008 12:52:46 | 顯示全部樓層
原帖由 bearwing 於 26-8-2008 01:48 發表
浮下上水先

Let
1 + (2/3)cosx + (4/9)cos2x + ... + (2/3)^n cos nx = {a_n}
0 + (2/3)sinx + (4/9)sin2x + ... + (2/3)^n sin nx = {b_n}
1 + (2/3)e^ix + (4/9)e^2ix + ... + (2/3)^n e^nix = {e_n}

Q1 ...


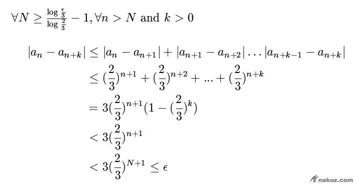
Q2 我唔知,Q1 我會咁答:
{a_n} 收歛,因為...

[ 本帖最後由 博士.Dota 於 27-8-2008 16:39 編輯 ]
a_n.PNG

評分

參與人數 1樂點 +3 +3 收起 理由
adamsteve + 3 + 3

查看全部評分

回復 支持 反對

使用道具 舉報

 樓主| 發表於 27-8-2008 17:34:35 | 顯示全部樓層
原帖由 博士.Dota 於 27-8-2008 12:52 發表


Q2 我唔知,Q1 我會咁答:
{a_n} 收歛,因為...

佩服[[bao_41]]

原來條問題係limit of series, 唔係pure 野
http://en.wikipedia.org/wiki/Convergent_series

我都係唔係好明absolute convergence 個concept...

[ 本帖最後由 bearwing 於 27-8-2008 19:40 編輯 ]
回復 支持 反對

使用道具 舉報

您需要登錄後才可以回帖 登錄 | 註冊

本版積分規則

小黑屋|Archiver|手機版|Nakuz.com |網站地圖

GMT+8, 20-12-2025 09:11 , Processed in 0.030019 second(s), 13 queries , MemCache On.

Powered by Discuz! X3.5

© 2001-2025 Discuz! Team.

快速回復 返回頂部 返回列表