找回密碼
 註冊
[日本手機遊戲APPS下載] 手機遊戲專區 熱門短片

型男索女 
查看: 3184|回復: 12

化學高考題

[複製鏈接]
發表於 14-3-2009 07:33:36 | 顯示全部樓層 |閱讀模式
2003年 卷2 第6題

室內CO2的濃度不可高於800ppm。設溫度=298k,壓強=1.01x10^5Nm^-2,把這濃度以gm^-3單位表示
回復

使用道具 舉報

發表於 14-3-2009 11:41:56 | 顯示全部樓層
咩係ppm[[tk_02]]
回復 支持 反對

使用道具 舉報

發表於 14-3-2009 14:54:40 | 顯示全部樓層
part per million
回復 支持 反對

使用道具 舉報

發表於 14-3-2009 16:42:12 | 顯示全部樓層
people punish money
ping pong master
peking pork minister
password protector missed
回復 支持 反對

使用道具 舉報

發表於 15-3-2009 01:32:30 | 顯示全部樓層
part per m
回復 支持 反對

使用道具 舉報

發表於 15-3-2009 16:40:16 | 顯示全部樓層
people punish money
ping pong master
peking pork minister
password protector missed
Zend 發表於 14-3-2009 16:42

咁你都諗到-.-
回復 支持 反對

使用道具 舉報

發表於 15-3-2009 22:24:56 | 顯示全部樓層
2003年 卷2 第6題

室內CO2的濃度不可高於800ppm。設溫度=298k,壓強=1.01x10^5Nm^-2,把這濃度以gm^-3單位表示
[S]Mangoray 發表於 14-3-2009 07:33 AM

係唔係out c啊...
個marking入面o的野都未見過...
123.JPG

評分

參與人數 1樂點 +5 收起 理由
adamsteve + 5 熱心協助

查看全部評分

回復 支持 反對

使用道具 舉報

發表於 15-3-2009 22:30:49 | 顯示全部樓層
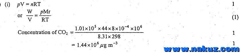
條問題要你以 ugm^-3作答 而且都講明可以當佢係ideal gas
所以就用PV=nRT答
PV = nRT
P/RT = n/V { 由於所要求既unit係g per m^-3 .. 即係mass / volume }
PM/RT = m/V = conc. { m=mass; M=molar mass }
conc = (1.01x10^5 x 44 x 10^6) / (8.314 x 298)  

*詳解:
P : Nm^-2 ( =Nm x m^-3 ) 亦 ( = J x m^-3 )
M : g mol^-1
R : J K^-1 mol^-1
T : K
                 J m^-3   x g mol^-1
成條式 =  --------------------------------- = gm^-3
                  K x J K^-1 mol^-1
但由於個unit差左個u{即係10^6}, 為左砌返岩個unit..就要乘10^6

評分

參與人數 1樂點 +5 收起 理由
adamsteve + 5 熱心協助

查看全部評分

回復 支持 反對

使用道具 舉報

發表於 19-3-2009 00:40:33 | 顯示全部樓層
係唔係out c啊...
個marking入面o的野都未見過...
fung_201 發表於 15-3-2009 22:24

唔係out syll.. 只係個單位少見D..所要求既野你唔了解

評分

參與人數 1樂點 -5 收起 理由
adamsteve -5 連貼

查看全部評分

回復 支持 反對

使用道具 舉報

發表於 19-3-2009 18:37:56 | 顯示全部樓層
唔係out syll.. 只係個單位少見D..所要求既野你唔了解
*JIMI``]] 發表於 19-3-2009 12:40 AM


ppm??宜家仲有咩??
回復 支持 反對

使用道具 舉報

您需要登錄後才可以回帖 登錄 | 註冊

本版積分規則

小黑屋|Archiver|手機版|Nakuz.com |網站地圖

GMT+8, 20-12-2025 19:14 , Processed in 0.030817 second(s), 14 queries , MemCache On.

Powered by Discuz! X3.5

© 2001-2025 Discuz! Team.

快速回復 返回頂部 返回列表