找回密碼
 註冊
[日本手機遊戲APPS下載] 手機遊戲專區 熱門短片

型男索女 
查看: 4858|回復: 12

Bonding Structure

[複製鏈接]
發表於 5-12-2009 13:55:10 | 顯示全部樓層 |閱讀模式
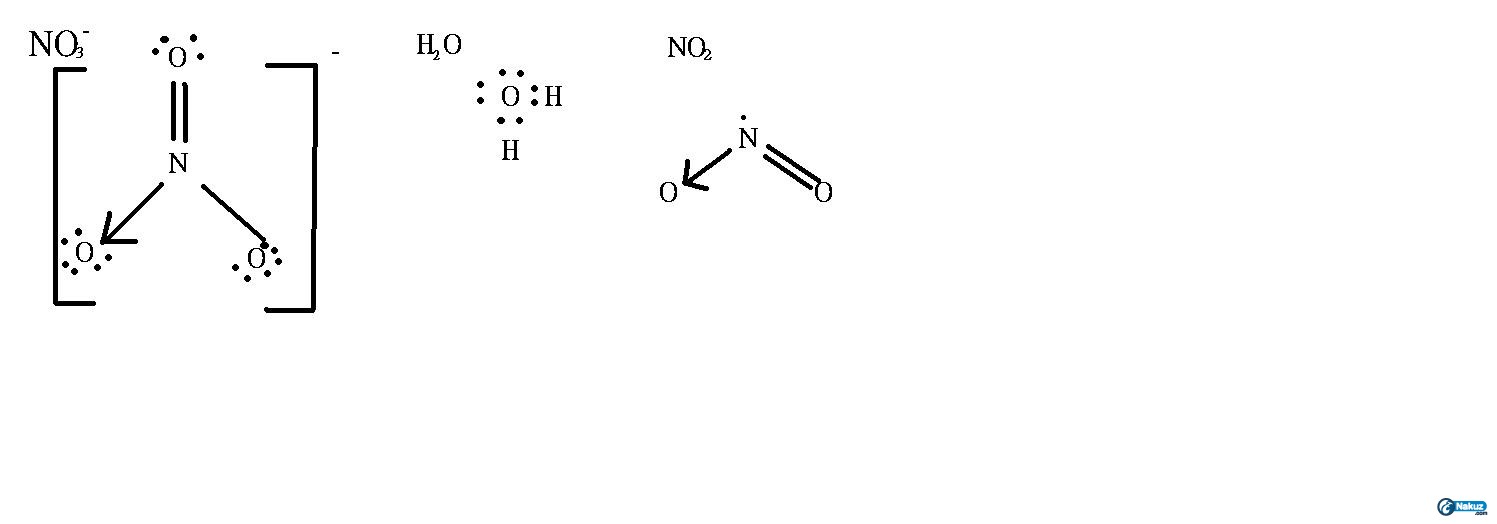
想問下
點解nitrate ion入面個N 可以有octet structure
而 nitrogen dioxide 入面個N outermost electron shell 得7粒電子

另外 點解water唔係linear而係V shape?
CO2又係linear唔係V shape
係因為H2O入面 O有lone electron pair所以repel到個形狀變左?


求CHEM高手解答:handshake
chemistry.JPG
回復

使用道具 舉報

發表於 5-12-2009 23:34:06 | 顯示全部樓層
CO2有兩對electron pairs
so 係linear

H2O有4對electron pairs
so 係tetrahedral
electron pairs 姐係no. of bond pair + no. of lone pair
如果淨係睇bond pair ge話..
h2o就係v-shape

我聽人講係咁嫁..
回復 支持 反對

使用道具 舉報

 樓主| 發表於 6-12-2009 13:21:46 | 顯示全部樓層
CO2有兩對electron pairs
so 係linear

H2O有4對electron pairs
so 係tetrahedral
electron pairs 姐係no. of bond pair + no. of lone pair
如果淨係睇bond pair ge話..
h2o就係v-shape

我聽人講係咁嫁.. ...
L.K. 發表於 5-12-2009 23:34


點解CO2有兩對electron pair就係linear
4對electron pair就係tetrahedral既?

同埋 咩叫睇bond pair就係vshape?
回復 支持 反對

使用道具 舉報

發表於 6-12-2009 16:14:04 | 顯示全部樓層
NO2 unstable------->會form N2O4  -->2個N都octet
H2O     O有2 lone pairs + 2 bond pairs  當佢既electrons pairs排列為tetrahedral shape果陣,repulsion就會係最 細   tetrahedral入面既四條邊就係4個electron pairs , 兩個bond pairs就會係V-shape--->H2O係V-shape
CO2      粒C正係得2 bond pairs , 2bond pairs 排列為linear shape時角度為180度,repulsion最細  所以佢係linear.

本人chem都唔係好好..解釋僅供參考..如有錯誤請指出...( 有唔明最好問老師~~~~~)
回復 支持 反對

使用道具 舉報

 樓主| 發表於 6-12-2009 18:22:17 | 顯示全部樓層
NO2 unstable------->會form N2O4  -->2個N都octet
H2O     O有2 lone pairs + 2 bond pairs  當佢既electrons pairs排列為tetrahedral shape果陣,repulsion就會係最 細   tetrahedral入面既四條邊就係4個electron p ...
芒果熙∼* 發表於 6-12-2009 16:14


thanks a lot.. 明多左D
唔該晒兩位高手解答:handshake


不過都仲有少少唔明
H2O果兩個lone pair electron既orbital 唔係應該互相垂直嫁咩?
即係對住xaxis yaxis zaxis咁.. 可以轉做tetrahedral?
回復 支持 反對

使用道具 舉報

發表於 6-12-2009 21:32:56 | 顯示全部樓層
信者得救
回復 支持 反對

使用道具 舉報

發表於 6-12-2009 23:20:09 | 顯示全部樓層
5# screen
sp3 hybridisation
回復 支持 反對

使用道具 舉報

發表於 10-12-2009 19:17:03 | 顯示全部樓層
NO2個問題 樓上已經答左

H2O:
因為O 係sp3 hybridization
所以有4個完全相同sp3
四個sp3會以tetrahedral既樣擺出黎
而H2O既兩個lone pairs of electrons會用左擺兩個頂點
但兩個H 就會放喺tetrahedral既底部兩點
而我地形容水既structure既時候
唔會形容埋果兩個lone pairs of electrons
所以我地只會話H2O係V-shaped(因為冇計埋兩個lone pairs of electrons)

而CO2 中 點解個結構係linear:
請留意CO2
O=C=O

其中C只有同兩個atoms(O) form bond + 0 個 lone pairs of electrons=>2
而唔似H2O咁 有兩對lone pairs of electrons + 兩對 bond pairs of electrons=>4

所以CO2 就係linear 而H2O就係tetrahedral(包埋lone pairs of electrons既結構)

上面既野 睇得多就會有經驗 睇得出d covalent compound既structure嫁啦

至於理解方面
你係org chem開始左之後 就會知道點解嫁啦
因為CO2入面既C 係sp 既hybridization state
而兩個sp 會以相反方向擺放=>即兩者(C=O)相隔180 degree=>linear shape
回復 支持 反對

使用道具 舉報

發表於 11-12-2009 18:12:07 | 顯示全部樓層
CO2唔係sp2咩..我印象中sp hybridize果d係整triple bond..定係我記錯左?
回復 支持 反對

使用道具 舉報

 樓主| 發表於 12-12-2009 10:35:15 | 顯示全部樓層
本帖最後由 screen 於 12-12-2009 10:37 編輯
NO2個問題 樓上已經答左

H2O:
因為O 係sp3 hybridization
所以有4個完全相同sp3
四個sp3會以tetrahedral既樣擺出黎
而H2O既兩個lone pairs of electrons會用左擺兩個頂點
但兩個H 就會放喺tetrahedral既底部兩點
而 ...
Hinton 發表於 10-12-2009 19:17


oh..
即係所有atom form bond果陣都會做hybridization?
因為我見oxygen 2s個orbital full左 以為佢唔會做嫁添-.-

CO2唔係sp2咩..我印象中sp hybridize果d係整triple bond..定係我記錯左?
芒果熙∼* 發表於 11-12-2009 18:12


sp係2sigma bonds   2 pi bonds
2 double bonds同 1single 1triple都應該係2sigma2pi
有錯請指正囧



唔該晒咁多位高手解答
回復 支持 反對

使用道具 舉報

您需要登錄後才可以回帖 登錄 | 註冊

本版積分規則

小黑屋|Archiver|手機版|Nakuz.com |網站地圖

GMT+8, 17-12-2025 15:53 , Processed in 0.034901 second(s), 12 queries , MemCache On.

Powered by Discuz! X3.5

© 2001-2025 Discuz! Team.

快速回復 返回頂部 返回列表