找回密碼
 註冊
[日本手機遊戲APPS下載] 手機遊戲專區 熱門短片

型男索女 
查看: 5039|回復: 5

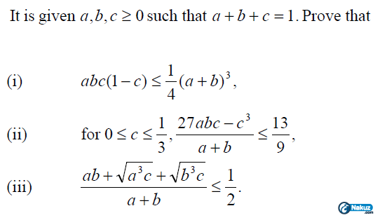
exercise 7 for inequality

[複製鏈接]
發表於 15-1-2010 21:10:26 | 顯示全部樓層 |閱讀模式
本帖最後由 killpower 於 16-1-2010 15:07 編輯

inequality!inequality![[onion_33]]

#3 Full solution(pdf format)
未命名.PNG
回復

使用道具 舉報

發表於 16-1-2010 00:07:11 | 顯示全部樓層
sqrt (ab) <= (a+b)/2
ab <= (a+b)^2/4
abc <= (a+b)^2/4            (0 <= c <= 1)
abc(a+b) <= (a+b)^3/4
abc(1-c) <= (a+b)^3/4

abc <= (a+b+c)^3/27 = 1/27
27abc <= 1
(27abc - c^3)/(a+b) = (1-c^3)/(1-c) = c^2 + c + 1 <= 1/9 + 1/3 + 1 <= 13/9

評分

參與人數 1樂點 +5 收起 理由
adamsteve + 5 熱心協助

查看全部評分

回復 支持 反對

使用道具 舉報

 樓主| 發表於 16-1-2010 15:02:03 | 顯示全部樓層
咁耐未有人答到(iii), 好, 現在放full solution![[onion_51]] [[onion_72]]

solution of inequality 7.pdf

19.93 KB, 下載次數: 119

回復 支持 反對

使用道具 舉報

發表於 21-1-2010 23:04:43 | 顯示全部樓層
咁耐未有人答到(iii), 好, 現在放full solution![[onion_51]] [[onion_72]]
killpower 發表於 16-1-2010 15:02

你真係當人冇到......
回復 支持 反對

使用道具 舉報

 樓主| 發表於 22-1-2010 20:55:40 | 顯示全部樓層
你真係當人冇到......
卍無極王者卍 發表於 21-1-2010 23:04


對不起大家[[onion_54]]
回復 支持 反對

使用道具 舉報

發表於 6-9-2011 00:24:50 | 顯示全部樓層
浓呈专业网络推广q/1077.72649代发贴,10元发1万帖,代发贴 只需要一天就能把您的帖子送上各大搜索引擎! 提高销售成绩不再是难题!论坛群发发贴业务10元发一万帖,10万帖起发100元。
宝及时到帐  网银打款  10万帖起发!,提高销售成绩不再是难题!〗  
☆其特点:覆盖面广,传播速度快,针对用户精准,信息可永保留.
专业办理论坛发贴发贴宣传发贴推广代论坛广告,另根据帖子内容进行分类,
办理4多种手工论坛推广(例如:时尚,美容,手机,汽车,化妆品,房产,招聘,音乐,医药,考试,股票等等40多个分类)发在指定论坛或板块进行推广,论坛代发贴,代论坛贴,10元发1万帖q/1077.72649. 10万贴起发
发贴推广最大的优势在于价格低,传播速度快,通过我们发贴后,被精准用户查看,
专业网络推广q/1077.72649代发贴,10元发1万帖 10万贴起发
【☆】从此不再为提高业绩而焦头烂额,我们帮您轻松赢天下!10万贴起发!专业发贴q/1077.72649   
☆绝对的低投资,高回报~!
专业代发_论坛广告q/1077.72649代发贴,10元发1万帖, 10万贴起发
☆24小时后各大搜索引擎收录!  让你的网站流量暴增!让您的产品世人皆知!
24小时后各大搜索引擎收录!  让你的网站流量暴增!让您的产品世人皆知支宝及时到帐
  网银打款  10万帖起发!
发帖者内容和标题编辑好给我, 必须先付款后再开始发!不信者勿扰!
我们的专业.铸造您的成功!q/1077.72649
回復 支持 反對

使用道具 舉報

您需要登錄後才可以回帖 登錄 | 註冊

本版積分規則

小黑屋|Archiver|手機版|Nakuz.com |網站地圖

GMT+8, 17-12-2025 05:41 , Processed in 0.095276 second(s), 18 queries , MemCache On.

Powered by Discuz! X3.5

© 2001-2025 Discuz! Team.

快速回復 返回頂部 返回列表