找回密碼
 註冊
[日本手機遊戲APPS下載] 手機遊戲專區 熱門短片

型男索女 
查看: 1689|回復: 4

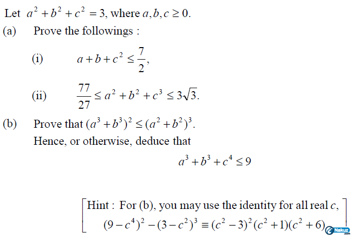
exercise 8 for inequality

[複製鏈接]
發表於 22-1-2010 20:54:34 | 顯示全部樓層 |閱讀模式
本帖最後由 killpower 於 23-1-2010 19:29 編輯

inequality[[onion_12]] [[onion_39]]

#3 Full solution
未命名.PNG
回復

使用道具 舉報

發表於 23-1-2010 18:42:33 | 顯示全部樓層
Of course Lagrange Multiplier will be a better method :lol
Max.jpg
回復 支持 反對

使用道具 舉報

 樓主| 發表於 23-1-2010 19:27:56 | 顯示全部樓層
既然玩哂d題目,發個full solutions.[[onion_70]] [[onion_21]]

solution of inequality 8.pdf

26.15 KB, 下載次數: 56

回復 支持 反對

使用道具 舉報

發表於 23-1-2010 21:58:38 | 顯示全部樓層
bearwing 一出手,立即秒殺. strong.
回復 支持 反對

使用道具 舉報

 樓主| 發表於 23-1-2010 22:20:35 | 顯示全部樓層
本帖最後由 killpower 於 24-1-2010 00:54 編輯

其實可以證明埋 a^n+b^n+c^(n+1) <= (sqrt(3))^(n+1) for all reals n and n>=2.
唔知bearwing有妙解?[[onion_57]] [[onion_21]]
回復 支持 反對

使用道具 舉報

您需要登錄後才可以回帖 登錄 | 註冊

本版積分規則

小黑屋|Archiver|手機版|Nakuz.com |網站地圖

GMT+8, 24-12-2025 02:32 , Processed in 0.029954 second(s), 14 queries , MemCache On.

Powered by Discuz! X3.5

© 2001-2025 Discuz! Team.

快速回復 返回頂部 返回列表