找回密碼
 註冊
[日本手機遊戲APPS下載] 手機遊戲專區 熱門短片

型男索女 
查看: 8405|回復: 38

nCr,nPr !?

  [複製鏈接]
發表於 23-3-2010 15:08:11 | 顯示全部樓層 |閱讀模式
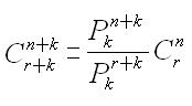
NCPR.JPG
where nrk0


有一日無無聊聊寫下寫下寫咗條咁既野出黎-.-''
其實我想問nCr,nPr有冇幾可係一齊用架呢!?
回復

使用道具 舉報

發表於 23-3-2010 18:07:34 | 顯示全部樓層
呢 D 咩 黎 架 v_v
頭 暈 了 ...
回復 支持 反對

使用道具 舉報

 樓主| 發表於 23-3-2010 18:09:55 | 顯示全部樓層
呢 D 咩 黎 架 v_v
頭 暈 了 ...
H20_希古恩 發表於 23-3-2010 18:07


nCr=n!/(n-r)!
nPr=n!/r!
回復 支持 反對

使用道具 舉報

發表於 23-3-2010 18:13:00 | 顯示全部樓層
姐 系 咩 黎 架 ??
數 學 差 不 要 見 怪 o.o"
回復 支持 反對

使用道具 舉報

 樓主| 發表於 23-3-2010 18:14:36 | 顯示全部樓層
姐 系 咩 黎 架 ??
數 學 差 不 要 見 怪 o.o"
H20_希古恩 發表於 23-3-2010 18:13


你係唔明個「!」姐- -''

1!=1
2!=1x2
3!=1x3
………
n!=1x2x3x…x(n-2)x(n-1)xn
回復 支持 反對

使用道具 舉報

頭像被屏蔽
發表於 23-3-2010 18:28:37 | 顯示全部樓層
提示: 作者被禁止或刪除 內容自動屏蔽
回復 支持 反對

使用道具 舉報

發表於 23-3-2010 22:18:05 | 顯示全部樓層
本帖最後由 -終場ソ使者- 於 23-3-2010 22:54 編輯

呢條係咪問題黎?
L.H.S.=(n+k)!/[(r+k)!(n+k-r-k)!]
=(n+k)!/[(r+k)!(n-r)!]
R.H.S.=[(n+k)!/n!]/[(r+k)!/r!]×n!/[r!(n-r)!]
=[n!(n+k)!r!]/[r!(n-r)!(r+k)!n!]
=(n+k)!/[(r+k)!(n-r)!]=L.H.S.
好易就直接計到出黎-.-
回復 支持 反對

使用道具 舉報

 樓主| 發表於 23-3-2010 22:20:09 | 顯示全部樓層
呢條係咪問題黎?
L.H.S.=(n+k)!/[(r+k)!(n+k-r-k)!]
=(n+k)!/[(r+k)!(n-r)!]
R.H.S.=[(n+k)!/n!]/[(r+k)!/n ...
-終場ソ使者- 發表於 23-3-2010 22:18


非也非也
我都係無無聊聊先寫左句咁既野出黎
問既就只係佢地會唔會一齊用-.-
回復 支持 反對

使用道具 舉報

發表於 23-3-2010 22:53:28 | 顯示全部樓層
一齊用冇話唔得既
我對組合論同概率論冇咩研究
唔清楚
回復 支持 反對

使用道具 舉報

 樓主| 發表於 23-3-2010 22:54:28 | 顯示全部樓層
一齊用冇話唔得既
我對組合論同概率論冇咩研究
唔清楚
-終場ソ使者- 發表於 23-3-2010 22:53


咁閣下讀數讀到邊/程度?
回復 支持 反對

使用道具 舉報

您需要登錄後才可以回帖 登錄 | 註冊

本版積分規則

小黑屋|Archiver|手機版|Nakuz.com |網站地圖

GMT+8, 18-12-2025 02:42 , Processed in 0.023591 second(s), 12 queries , MemCache On.

Powered by Discuz! X3.5

© 2001-2025 Discuz! Team.

快速回復 返回頂部 返回列表