找回密碼
 註冊
[日本手機遊戲APPS下載] 手機遊戲專區 熱門短片

型男索女 
查看: 1859|回復: 3

呢條式咩黎 有冇out c?

[複製鏈接]
發表於 3-4-2011 22:13:39 | 顯示全部樓層 |閱讀模式
aa.JPG
做01年pp 11題c唔識做
睇marking見到 睇唔明
回復

使用道具 舉報

發表於 3-4-2011 22:42:57 | 顯示全部樓層
做01年pp 11題c唔識做
睇marking見到 睇唔明
內輪佐助 發表於 3-4-2011 22:13

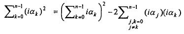
冇OUT C

再正式D講
呢條算唔上係公式
因為自己展開都做到

簡單黎講
就係

a^2+b^2=(a+b)^2 -2ab
a^2+b^2+c^2=(a+b+c)^2 -2(ab+ac+bc)
a^2+b^2+c^2+d^2=(a+b+c+d)^2 -2(ab+ac+ad+bc+bd+cd)
...
a^2+b^2+c^2+d^2+...+n^2=(a+b+c+d+...+n)^2 -2[ab+ac+ad+ae+...+(n-1)n]
where n is any number

由於佢個 i 係constant
所以被我無視掉
回復 支持 反對

使用道具 舉報

 樓主| 發表於 3-4-2011 23:03:31 | 顯示全部樓層
哦..原來係咁簡單既野黎 THX
我一開頭就咁睇d符號搞到好亂
回復 支持 反對

使用道具 舉報

發表於 5-4-2011 11:29:46 | 顯示全部樓層
哦..原來係咁簡單既野黎 THX
我一開頭就咁睇d符號搞到好亂
內輪佐助 發表於 3-4-2011 23:03

呢d符號唔係應該識睇架咩-.-
你自己expand佢就會明係乜
回復 支持 反對

使用道具 舉報

您需要登錄後才可以回帖 登錄 | 註冊

本版積分規則

小黑屋|Archiver|手機版|Nakuz.com |網站地圖

GMT+8, 16-12-2025 08:41 , Processed in 0.033998 second(s), 14 queries , MemCache On.

Powered by Discuz! X3.5

© 2001-2025 Discuz! Team.

快速回復 返回頂部 返回列表