找回密碼
 註冊
[日本手機遊戲APPS下載] 手機遊戲專區 熱門短片

型男索女 
查看: 4187|回復: 19

一條好簡單的數問題

  [複製鏈接]
發表於 14-6-2009 17:05:17 | 顯示全部樓層 |閱讀模式
我想問....
     2/4
    一一
   根3+根3/3

點樣轉成根3/8
回復

使用道具 舉報

發表於 14-6-2009 18:03:35 | 顯示全部樓層
本帖最後由 yukating 於 14-6-2009 18:08 編輯

-.- 計左好耐T_T
12211212.PNG
回復 支持 反對

使用道具 舉報

發表於 14-6-2009 18:35:16 | 顯示全部樓層
短而有力既證明

prove.pdf

51.38 KB, 下載次數: 430

回復 支持 反對

使用道具 舉報

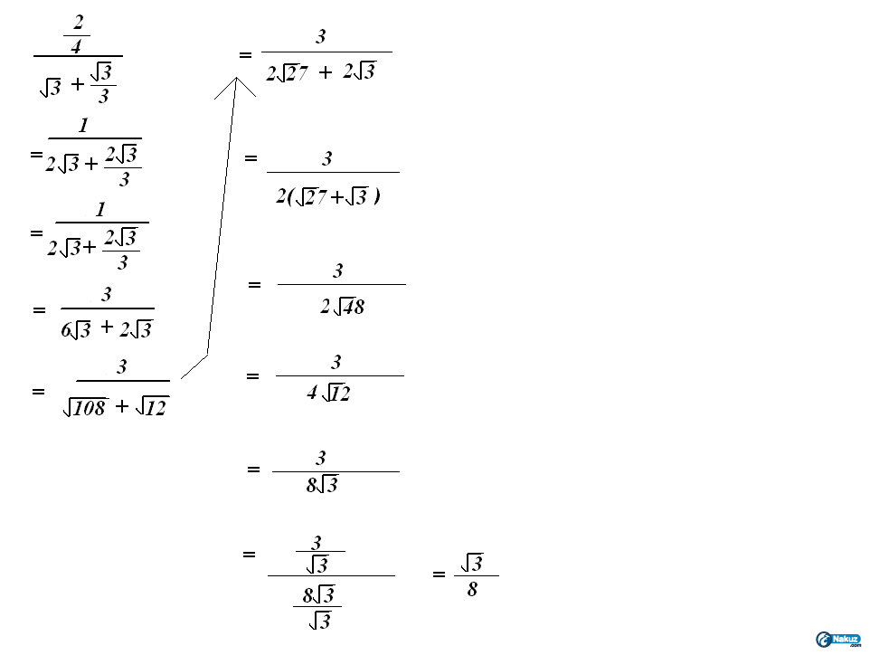
 樓主| 發表於 14-6-2009 18:52:00 | 顯示全部樓層
有一道唔明= = 3/2(根27+根3)   點解會變左3/2根48= =
回復 支持 反對

使用道具 舉報

發表於 14-6-2009 19:28:38 | 顯示全部樓層
(2/4)/(√3+√3/3)
=1/(2√3+2√3/3)
=(2√3-2√3/3)/(2√3+2√3/3)(2√3-2√3/3)
=(2√3-2√3/3)/(12-4/3)
=[(6√3-2√3)/3]/(32/3)
=4√3/32
=√3/8
回復 支持 反對

使用道具 舉報

發表於 14-6-2009 19:48:35 | 顯示全部樓層
本帖最後由 yukating 於 14-6-2009 19:50 編輯
有一道唔明= = 3/2(根27+根3)   點解會變左3/2根48= =
pk665368 發表於 14-6-2009 18:52


附件圖@@ 呢度得我計到水蛇咁長 - -"T_T...
12122.PNG
回復 支持 反對

使用道具 舉報

發表於 14-6-2009 21:08:04 | 顯示全部樓層
更短而有力既證明 = =
(2/4) / (sqrt3 + sqrt3/ 3)
= 3/8sqrt3
= sqrt3/8
回復 支持 反對

使用道具 舉報

發表於 14-6-2009 22:20:23 | 顯示全部樓層
更短而有力既證明 = =
(2/4) / (sqrt3 + sqrt3/ 3)
= 3/8sqrt3
= sqrt3/8
[S]【YU】 發表於 14/6/2009 09:08 PM

[[onion_43]]
==============================
0906141807ee48907f0a1f97ca_png_thumb.jpg
回復 支持 反對

使用道具 舉報

發表於 15-6-2009 00:47:38 | 顯示全部樓層
其實...-.-

     2/4
    一一
   根3+根3/3

    1
= -------
 2根3(4/3)

    3
= -------
   8根3

   3根3
= -------
   8*3

    根3
= -------
    8


超快 =.= 又易諗....抽 factor =.=.......
簡單快夾易 xD
回復 支持 反對

使用道具 舉報

發表於 15-6-2009 01:13:55 | 顯示全部樓層
其實...-.-

     2/4
    一一
   根3+根3/3

    1
= -------
 2根3(4/3)

    3
= -------
   8根3

   3根3
= -------
   8*3

    根3
=  ...
§阿虛§ 發表於 15/6/2009 12:47 AM

你都唔夠YU快
回復 支持 反對

使用道具 舉報

您需要登錄後才可以回帖 登錄 | 註冊

本版積分規則

小黑屋|Archiver|手機版|Nakuz.com |網站地圖

GMT+8, 19-12-2025 13:08 , Processed in 0.028532 second(s), 14 queries , MemCache On.

Powered by Discuz! X3.5

© 2001-2025 Discuz! Team.

快速回復 返回頂部 返回列表