找回密碼
 註冊
[日本手機遊戲APPS下載] 手機遊戲專區 熱門短片

型男索女 
查看: 2088|回復: 7

FIND X

[複製鏈接]
發表於 19-11-2009 19:16:57 | 顯示全部樓層 |閱讀模式
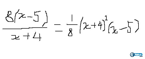
FIND X 未命名.jpg
回復

使用道具 舉報

發表於 19-11-2009 21:37:33 | 顯示全部樓層
64(x-5)/(x+4)=(x+4)²(x-5)
64/(x+4)=(x+4)²
64=(x+4)^3
4=x+4
x=0
回復 支持 反對

使用道具 舉報

 樓主| 發表於 19-11-2009 21:55:13 | 顯示全部樓層
2# john24d2003
岩左一半詐..
回復 支持 反對

使用道具 舉報

發表於 19-11-2009 22:37:01 | 顯示全部樓層
本帖最後由 [S]【YU】 於 19-11-2009 22:38 編輯

LK 今條出得咁正常.

8(x-5)/(x+4)=(x+4)²(x-5)/8
64(x-5)=(x+4)^3 (x-5)
(x-5)[(x+4)^3 - 64] = 0
x = 5 or (x+4)^3 - 64 = 0
x = 5 or x + 4 = 4
x = 5 or 0

評分

參與人數 1樂點 +5 收起 理由
adamsteve + 5 熱心協助

查看全部評分

回復 支持 反對

使用道具 舉報

發表於 20-11-2009 19:22:13 | 顯示全部樓層
見到呢d題目一定唔可以直接除-.-
回復 支持 反對

使用道具 舉報

頭像被屏蔽
發表於 17-1-2010 19:46:14 | 顯示全部樓層
提示: 作者被禁止或刪除 內容自動屏蔽
回復 支持 反對

使用道具 舉報

發表於 18-2-2010 21:28:48 | 顯示全部樓層
本帖最後由 LSM 於 18-2-2010 13:29 編輯

直接除會少左D ans .. 大忌來的
回復 支持 反對

使用道具 舉報

發表於 25-2-2010 18:20:43 | 顯示全部樓層
會考生好多就係錯呢d
一元2之方程咁做既話就會消左1個解
kokokokokakuz11 發表於 17-1-2010 19:46

quaratic 好易會係咁
尤其係 x^2-4=0 呢d.....
好易只係寫+2唔寫-2
回復 支持 反對

使用道具 舉報

您需要登錄後才可以回帖 登錄 | 註冊

本版積分規則

小黑屋|Archiver|手機版|Nakuz.com |網站地圖

GMT+8, 17-12-2025 22:54 , Processed in 0.026255 second(s), 17 queries , MemCache On.

Powered by Discuz! X3.5

© 2001-2025 Discuz! Team.

快速回復 返回頂部 返回列表